Мерзляк
ГДЗ по математике 6 класс Мерзляк задание №549
014
Тип: Учебник Автор: Мерзляк А.Г., Полонский В.Б., Якир М.С. Издательство: Вентана-Граф Год: 2014 На этой странице представлено подробное решение номера
Мерзляк
ГДЗ по математике 6 класс Мерзляк задание №548
011
Тип: Учебник Автор: Мерзляк А.Г., Полонский В.Б., Якир М.С. Издательство: Вентана-Граф Год: 2014 На этой странице представлено подробное решение номера
Мерзляк
ГДЗ по математике 6 класс Мерзляк задание №547
07
Тип: Учебник Автор: Мерзляк А.Г., Полонский В.Б., Якир М.С. Издательство: Вентана-Граф Год: 2014 На этой странице представлено подробное решение номера
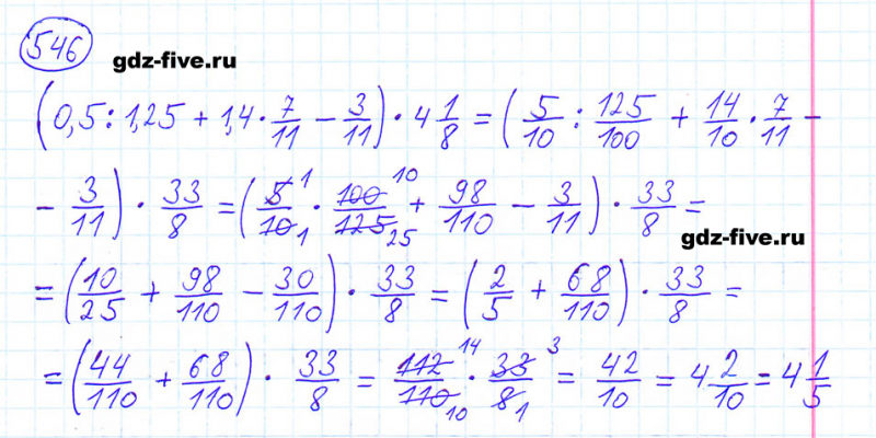
Мерзляк
ГДЗ по математике 6 класс Мерзляк задание №546
013
Тип: Учебник Автор: Мерзляк А.Г., Полонский В.Б., Якир М.С. Издательство: Вентана-Граф Год: 2014 На этой странице представлено подробное решение номера
Мерзляк
ГДЗ по математике 6 класс Мерзляк задание №545
09
Тип: Учебник Автор: Мерзляк А.Г., Полонский В.Б., Якир М.С. Издательство: Вентана-Граф Год: 2014 На этой странице представлено подробное решение номера
Мерзляк
ГДЗ по математике 6 класс Мерзляк задание №544
014
Тип: Учебник Автор: Мерзляк А.Г., Полонский В.Б., Якир М.С. Издательство: Вентана-Граф Год: 2014 На этой странице представлено подробное решение номера
Мерзляк
ГДЗ по математике 6 класс Мерзляк задание №543
09
Тип: Учебник Автор: Мерзляк А.Г., Полонский В.Б., Якир М.С. Издательство: Вентана-Граф Год: 2014 На этой странице представлено подробное решение номера
Мерзляк
ГДЗ по математике 6 класс Мерзляк задание №542
010
Тип: Учебник Автор: Мерзляк А.Г., Полонский В.Б., Якир М.С. Издательство: Вентана-Граф Год: 2014 На этой странице представлено подробное решение номера
Мерзляк
ГДЗ по математике 6 класс Мерзляк задание №541
014
Тип: Учебник Автор: Мерзляк А.Г., Полонский В.Б., Якир М.С. Издательство: Вентана-Граф Год: 2014 На этой странице представлено подробное решение номера
Мерзляк
ГДЗ по математике 6 класс Мерзляк задание №540
010
Тип: Учебник Автор: Мерзляк А.Г., Полонский В.Б., Якир М.С. Издательство: Вентана-Граф Год: 2014 На этой странице представлено подробное решение номера