ГДЗ по математике 6 класс Виленкин, Жохов задание №474
Автор Беликова Ирина На чтение 1 мин Просмотров 20
Тип: Учебник
Автор: Виленкин Н.Я., Жохов В.И., Чесноков А.С., Шварцбурд С.И.
Издательство: Мнемозина
Год: 2013
На этой странице представлено подробное решение номера 474 из сборника ГДЗ к учебнику по математике 6 класс авторов Виленкин, Жохов, Чесноков, Шварцбурд.
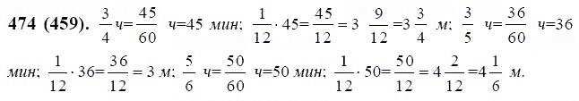
Решение №474

Беликова Ирина
Учитель физики, информатики и вычислительной техники. Победитель конкурса лучших учителей Российской Федерации в рамках Приоритетного Национального Проекта "Образование".