Никольский
ГДЗ по математике 6 класс Никольский, Потапов задание №568
017
Тип: Учебник Автор: Никольский С.М., Потапов М.К,, Решетников Н.Н., Шевкин А.В. Издательство: Просвещение Год: 2015 На этой странице представлено подробное
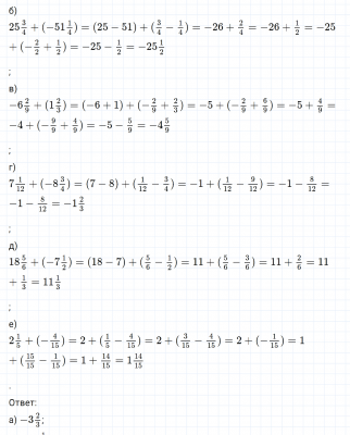
Никольский
ГДЗ по математике 6 класс Никольский, Потапов задание №567
012
Тип: Учебник Автор: Никольский С.М., Потапов М.К,, Решетников Н.Н., Шевкин А.В. Издательство: Просвещение Год: 2015 На этой странице представлено подробное
Никольский
ГДЗ по математике 6 класс Никольский, Потапов задание №566
016
Тип: Учебник Автор: Никольский С.М., Потапов М.К,, Решетников Н.Н., Шевкин А.В. Издательство: Просвещение Год: 2015 На этой странице представлено подробное
Никольский
ГДЗ по математике 6 класс Никольский, Потапов задание №565
011
Тип: Учебник Автор: Никольский С.М., Потапов М.К,, Решетников Н.Н., Шевкин А.В. Издательство: Просвещение Год: 2015 На этой странице представлено подробное
Никольский
ГДЗ по математике 6 класс Никольский, Потапов задание №564
012
Тип: Учебник Автор: Никольский С.М., Потапов М.К,, Решетников Н.Н., Шевкин А.В. Издательство: Просвещение Год: 2015 На этой странице представлено подробное
Никольский
ГДЗ по математике 6 класс Никольский, Потапов задание №563
011
Тип: Учебник Автор: Никольский С.М., Потапов М.К,, Решетников Н.Н., Шевкин А.В. Издательство: Просвещение Год: 2015 На этой странице представлено подробное
Никольский
ГДЗ по математике 6 класс Никольский, Потапов задание №562
016
Тип: Учебник Автор: Никольский С.М., Потапов М.К,, Решетников Н.Н., Шевкин А.В. Издательство: Просвещение Год: 2015 На этой странице представлено подробное
Никольский
ГДЗ по математике 6 класс Никольский, Потапов задание №561
027
Тип: Учебник Автор: Никольский С.М., Потапов М.К,, Решетников Н.Н., Шевкин А.В. Издательство: Просвещение Год: 2015 На этой странице представлено подробное
Никольский
ГДЗ по математике 6 класс Никольский, Потапов задание №560
013
Тип: Учебник Автор: Никольский С.М., Потапов М.К,, Решетников Н.Н., Шевкин А.В. Издательство: Просвещение Год: 2015 На этой странице представлено подробное
Никольский
ГДЗ по математике 6 класс Никольский, Потапов задание №559
013
Тип: Учебник Автор: Никольский С.М., Потапов М.К,, Решетников Н.Н., Шевкин А.В. Издательство: Просвещение Год: 2015 На этой странице представлено подробное