Никольский
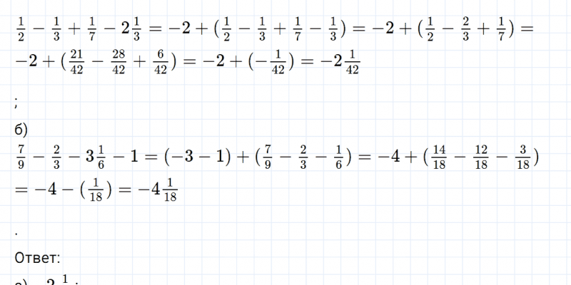
ГДЗ по математике 6 класс Никольский, Потапов задание №578
017
Тип: Учебник Автор: Никольский С.М., Потапов М.К,, Решетников Н.Н., Шевкин А.В. Издательство: Просвещение Год: 2015 На этой странице представлено подробное
Никольский
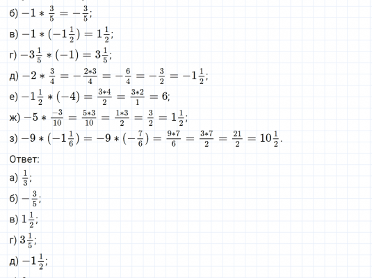
ГДЗ по математике 6 класс Никольский, Потапов задание №577
027
Тип: Учебник Автор: Никольский С.М., Потапов М.К,, Решетников Н.Н., Шевкин А.В. Издательство: Просвещение Год: 2015 На этой странице представлено подробное
Никольский
ГДЗ по математике 6 класс Никольский, Потапов задание №576
015
Тип: Учебник Автор: Никольский С.М., Потапов М.К,, Решетников Н.Н., Шевкин А.В. Издательство: Просвещение Год: 2015 На этой странице представлено подробное
Никольский
ГДЗ по математике 6 класс Никольский, Потапов задание №575
014
Тип: Учебник Автор: Никольский С.М., Потапов М.К,, Решетников Н.Н., Шевкин А.В. Издательство: Просвещение Год: 2015 На этой странице представлено подробное
Никольский
ГДЗ по математике 6 класс Никольский, Потапов задание №574
027
Тип: Учебник Автор: Никольский С.М., Потапов М.К,, Решетников Н.Н., Шевкин А.В. Издательство: Просвещение Год: 2015 На этой странице представлено подробное
Никольский
ГДЗ по математике 6 класс Никольский, Потапов задание №573
014
Тип: Учебник Автор: Никольский С.М., Потапов М.К,, Решетников Н.Н., Шевкин А.В. Издательство: Просвещение Год: 2015 На этой странице представлено подробное
Никольский
ГДЗ по математике 6 класс Никольский, Потапов задание №572
09
Тип: Учебник Автор: Никольский С.М., Потапов М.К,, Решетников Н.Н., Шевкин А.В. Издательство: Просвещение Год: 2015 На этой странице представлено подробное
Никольский
ГДЗ по математике 6 класс Никольский, Потапов задание №571
010
Тип: Учебник Автор: Никольский С.М., Потапов М.К,, Решетников Н.Н., Шевкин А.В. Издательство: Просвещение Год: 2015 На этой странице представлено подробное
Никольский
ГДЗ по математике 6 класс Никольский, Потапов задание №570
023
Тип: Учебник Автор: Никольский С.М., Потапов М.К,, Решетников Н.Н., Шевкин А.В. Издательство: Просвещение Год: 2015 На этой странице представлено подробное
Никольский
ГДЗ по математике 6 класс Никольский, Потапов задание №569
016
Тип: Учебник Автор: Никольский С.М., Потапов М.К,, Решетников Н.Н., Шевкин А.В. Издательство: Просвещение Год: 2015 На этой странице представлено подробное