Виленкин
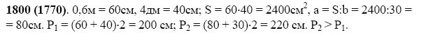
ГДЗ по математике 5 класс Виленкин, Жохов задание №1800
010
Тип: Учебник Автор: Виленкин Н.Я., Жохов В.И., Чесноков А.С., Шварцбурд С.И. Издательство: Мнемозина Год: 2013 На этой странице представлено подробное
Виленкин
ГДЗ по математике 5 класс Виленкин, Жохов задание №1799
016
Тип: Учебник Автор: Виленкин Н.Я., Жохов В.И., Чесноков А.С., Шварцбурд С.И. Издательство: Мнемозина Год: 2013 На этой странице представлено подробное
Виленкин
ГДЗ по математике 5 класс Виленкин, Жохов задание №1798
010
Тип: Учебник Автор: Виленкин Н.Я., Жохов В.И., Чесноков А.С., Шварцбурд С.И. Издательство: Мнемозина Год: 2013 На этой странице представлено подробное
Виленкин
ГДЗ по математике 5 класс Виленкин, Жохов задание №1797
021
Тип: Учебник Автор: Виленкин Н.Я., Жохов В.И., Чесноков А.С., Шварцбурд С.И. Издательство: Мнемозина Год: 2013 На этой странице представлено подробное
Виленкин
ГДЗ по математике 5 класс Виленкин, Жохов задание №1796
013
Тип: Учебник Автор: Виленкин Н.Я., Жохов В.И., Чесноков А.С., Шварцбурд С.И. Издательство: Мнемозина Год: 2013 На этой странице представлено подробное
Виленкин
ГДЗ по математике 5 класс Виленкин, Жохов задание №1795
019
Тип: Учебник Автор: Виленкин Н.Я., Жохов В.И., Чесноков А.С., Шварцбурд С.И. Издательство: Мнемозина Год: 2013 На этой странице представлено подробное
Виленкин
ГДЗ по математике 5 класс Виленкин, Жохов задание №1794
014
Тип: Учебник Автор: Виленкин Н.Я., Жохов В.И., Чесноков А.С., Шварцбурд С.И. Издательство: Мнемозина Год: 2013 На этой странице представлено подробное
Виленкин
ГДЗ по математике 5 класс Виленкин, Жохов задание №1793
06
Тип: Учебник Автор: Виленкин Н.Я., Жохов В.И., Чесноков А.С., Шварцбурд С.И. Издательство: Мнемозина Год: 2013 На этой странице представлено подробное
Виленкин
ГДЗ по математике 5 класс Виленкин, Жохов задание №1792
016
Тип: Учебник Автор: Виленкин Н.Я., Жохов В.И., Чесноков А.С., Шварцбурд С.И. Издательство: Мнемозина Год: 2013 На этой странице представлено подробное
Виленкин
ГДЗ по математике 5 класс Виленкин, Жохов задание №1791
07
Тип: Учебник Автор: Виленкин Н.Я., Жохов В.И., Чесноков А.С., Шварцбурд С.И. Издательство: Мнемозина Год: 2013 На этой странице представлено подробное