ГДЗ по математике 5 класс Никольский, Потапов задание №1130
Автор Беликова Ирина На чтение 1 мин Просмотров 17
Тип: Учебник
Автор: Никольский С.М., Потапов М.К,, Решетников Н.Н., Шевкин А.В.
Издательство: Просвещение
Год: 2014
На этой странице представлено подробное решение номера 1130 из сборника ГДЗ к учебнику по математике 5 класс авторов Никольский, Потапов, Решетников, Шевкин.
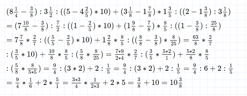
Решение №1130

Беликова Ирина
Учитель физики, информатики и вычислительной техники. Победитель конкурса лучших учителей Российской Федерации в рамках Приоритетного Национального Проекта "Образование".