ГДЗ по математике 4 класс Петерсон задание 5 урок 13 часть 1
Автор Беликова Ирина На чтение 1 мин Просмотров 8
Тип: Учебник, часть 1, 2, 3
Автор: Петерсон Л.Г.
Издательство: Ювента
Год: 2015
На этой странице представлено подробное решение задания номер 5 урока 13 из сборника ГДЗ к учебнику часть 1 по математике 4 класс автора Петерсон Л.Г.
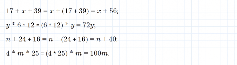
Решение №5 урок 13 часть 1

Беликова Ирина
Учитель физики, информатики и вычислительной техники. Победитель конкурса лучших учителей Российской Федерации в рамках Приоритетного Национального Проекта "Образование".