Похоже, мы не можем найти то, что вы ищете. Возможно, поиск поможет.
Главная страница 11 класс Литература
Ничего не найдено
Вам также может понравиться
Тип: Учебник Автор: Виленкин Н.Я., Жохов В.
010
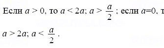
Вопрос от пользователя: Настюха Найдите значение выражения
013
Тип: Учебник Автор: Биболетова М.З., Денисенко О.
010
Сказка «Аленький цветочек» рассказывает об именитом
0635
Вопрос от пользователя: Ростя Каким образом люди могут
07
Тип: Учебник, часть 1, 2 Автор: Дорофеев Г.
017
Тип: Учебник Автор: Никольский С.М., Потапов М.
013



