Похоже, мы не можем найти то, что вы ищете. Возможно, поиск поможет.
Главная страница 1 класс Литература
Ничего не найдено
Вам также может понравиться
Одна из древнейших войн, описание которой содержится
064
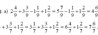
Тип: Учебник Автор: Никольский С.М., Потапов М.
028
Совокупность условных рефлексов и психических функций
09
Вопрос от пользователя: Альбинка В кастрюле сварили
011
Тип: Учебник Автор: Дорофеев Г.В., Шарыгин И.
016
Живая природа представляет собой набор организмов
017




